Contradiction Prove 2 2 5 Mathematics Stack Exchange
Solved Page Of 5 Zoom Analysis Of A Proof 1 5 Pts T Chegg Com
A Simple Proof That The Harmonic Series Diverges Math
Induction Divisibility Proof Proving That 4 N 1 5 2n 1 Is Divisible By 21 Youtube
What Is The Sum Of The Series Math 1 1 2 1 3 1 4 1 5 Math Up To Infinity How Can It Be Calculated Quora
Solved 17 Evaluation Of Proofs See The Instructions For Chegg Com
Elliptic Curve Cryptography And Zero Knowledge Proof
7 Proof By Induction 1 3 5 7 2n 1 N 2 Discrete Prove All N In N Induction Mathgotserved Youtube
3 Mathematical Induction Pdf Free Download
Please Help Me Solve This Question Prove That Sin 1 4 5 Sin 1 5 13 Sin 1 16 65 P 2 Math Inverse Trigonometric Functions 988370 Meritnation Com
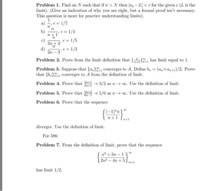
Solved Problem 1 Find An N Such That If N N Then Lan L Chegg Com
Proof Of Finite Arithmetic Series Formula By Induction Video Khan Academy
What Does It Take To Prove The Goldbach Conjecture Quora
Prove That The Points 2 2 2 1 5 2 Are The Vertices Of The Right Angle Triangle Also Find Area Brainly In
Looking For Help With Proof Question Learnmath
Fsu Math
Prove That Cos 1 45 Tan 1 35 Tan 1 2711
Http Condor Depaul Edu Ntomuro Courses 400 Classnotes Lecturenote 3exercises Strong Pdf
Digital Text Front